Beliefs are central to our lives. They shape our understanding of the world and how we navigate it. While we often think of our beliefs as personal, internal mental states formed through careful assessment of the evidence, they are also fundamentally social: beliefs are expressed, shaped, and regulated within our social communities. I research the developmental roots of social influences on belief formation. Specifically, my work examines how and why children and adults bias their standards of evidence to align their beliefs with others. I’m also interested in how we evaluate other people’s belief formation, such as how responsible we hold them for what they believe.

Children’s belief formation in social contexts

Why do we sometimes hold beliefs that are contradicted by the available evidence? I research this question by examining the early-emerging psychological processes that underlie belief formation in social contexts. In particular, I investigate how belonging to a social group motivates children to adopt group beliefs and shapes how they evaluate evidence. How deeply rooted are group biases in belief formation? Are even young children, who are just starting to form core beliefs about the world, already susceptible to social influence? Or do children initially approach evidence like impartial ‘little scientists’ who resist such biases?

In a recent paper (Confer et al., 2025), we find that even preschoolers are more convinced by evidence that supports their group’s belief and are less convinced by evidence that opposes their group’s belief, leading them to hold inaccurate group beliefs. These findings indicate that adjusting our evidentiary standards to align with our groups emerges early in development, well before partisan identities form. This work suggests it may be valuable to implement interventions aimed at fostering intellectual humility and evidence-based reasoning skills in preschool-aged children, before group biases mature.

Relevant paper:

Confer, J.A., Champ, A.M., Amir, D., Schleihauf, H., Engelmann, J.M. (2025). Group membership biases  children’s evaluation of evidence. Nature Communications.

Developing theories of belief formation

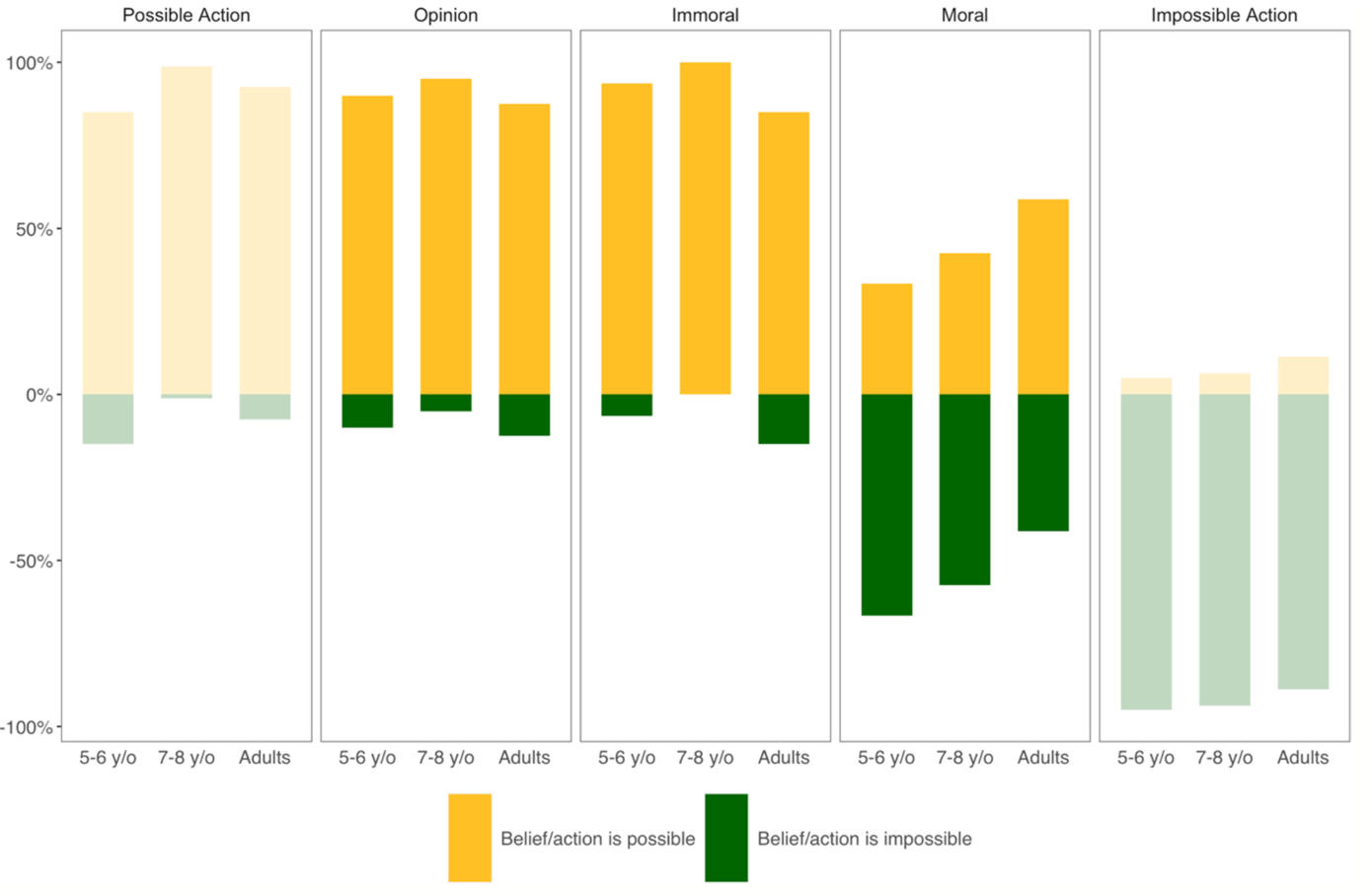
Beliefs guide our decisions, shape our identities, and can lead to important social consequences. Yet we often hold inaccurate beliefs. We frequently lack information and are biased in how we evaluate the evidence we do have. My research examines how much control we think people have in the process of belief formation. Because beliefs are internal states not directly tied to reality, are people thought to be able to believe what they want, and are thus responsible for their beliefs? Or because beliefs aim towards the truth, do we instead think that factors like evidence constrain what people can believe?

My recent research shows that children and adults selectively weigh the constraints people face in forming beliefs (Confer et al., 2024). We find that both the evidence supporting a belief and the morality of a belief greatly influence the extent to which people are thought to be able to hold certain beliefs. However, without these constraints, people are thought to believe what they want. These results may help explain why people are viewed as blameworthy for some beliefs and as passive agents for others. They also suggest that children as young as 5 already possess sophisticated intuitions of how beliefs are constrained by evidence and morality.  

Relevant paper:

Confer, J.A., Schleihauf, H., Engelmann, J.M. (2024). Children and adults’ intuitions of what people can believe. Child Development.

Additional directions: Intuitions of autonomy

In addition to my work on beliefs, I’m also interested in lay theories of autonomy, consent, paternalism, and punishment. This work examines how perceptions of voluntary choice shape our moral responses to others.

In previous research, I examined how people reason about the control others have over their actions, how these intuitions depend on who is making the evaluation and who is being evaluated, and how perceived control influences punishment decisions.

Relevant papers:

Chopik, W. J., Confer, J. A., & Motyl, M. (2023). Age differences in free will and control perceptions across the lifespan and around the world. Current Research in Ecological and Social Psychology.

Confer, J.A., & Chopik, W.J. (2019). Behavioral explanations reduce retributive punishment but not reward: The mediating role of conscious will. Consciousness and Cognition.